碱金属电池具有高理论比容量和低还原电位,是非常有前途的下一代储能系统。然而,金属负极上不稳定的固体电解质界面(SEI)和枝晶的生长对碱金属电池的实际应用构成了重大挑战。隔膜直接与负极和电解质等关键组件接触,同时作为“桥梁”和“屏障”,发挥着关键的作用,并有可能解决碱金属电池面临的挑战。以前的研究主要集中在调节隔膜和电解质成分(碱金属离子、溶剂分子和阴离子)之间的静电相互作用、范德华力和偶极-偶极相互作用上。然而,它们的电特性一直被忽视。在碱金属电池放电过程中,内部电场通常超过1×105 V/m。这样的电场强度足以影响隔膜-负极界面以及隔膜和电解质之间的相互作用。在强电场下,分子极化率和偶极矩等特性发生了显著变化,施加电场前后分子间相互作用能的变化明显。这种忽视导致对隔膜-负极界面以及隔膜和电解质之间相互作用的描述不准确。
团队提出了一种由磷化纤维素组成的高介电常数纤维隔膜,通过引入介电常数作为描述符,探讨了具有不同介电常数的纤维隔膜在电场下的响应行为,研究了在均匀内电场前提下,高介电常数隔膜对碱金属电池负极表面的影响。在内部电场下,高介电常数隔膜内的强烈电子位移极化增强了电荷转移动力学并优化了溶剂化结构,这也诱导形成了富含LiF和低聚物的固体电解质界面。此外,高介电常数隔膜可调节电场密度分布并减轻金属电极中的尖端效应。高介电常数隔膜的应用,使得碱金属电池表现出优异的电化学性能和循环稳定性。同时采用湿法成型工艺,并使用生物质材料作为原材料,实现了高介电常数隔膜的大规模生产。相关成果以“Electron displacement polarization of high-dielectric constant fiber separators enhances interface stability”为题发表在Nature Communications期刊上。BETVICTOR为第一单位,BETVICTOR博士生张陶为论文第一作者,通讯作者为BETVICTORBETVICTOR朱美芳和徐桂银。
介电常数高达29.0的磷化纤维隔膜(PCS)可以促进碱金属负极的电场均匀分布,进而减缓尖端效应。此外,电场作用下高介电常数纤维的带脑子位移极化增强了电荷转移动力学并优化了溶剂化结构。在磷化纤维素链存在时,[Li(EC)3(DEC)]+从其溶剂化鞘中脱除EC和DEC分子的能垒(5.86 eV)低于纯纤维素链存在时的能垒(6.86 eV)。施加电场后,PCS链存在时的去溶剂化能进一步降至3.12 eV。相比之下,CS链存在时的去溶剂化能变化可忽略不计(6.47 eV)。这归因于电场作用下高介电常数的PCS在电场作用下发生强烈的电子转移,从而诱导Li+去溶剂化,这是影响电池性能的关键但尚未充分探索的因素。

图1:高介电常数隔膜的设计
在高介电常数纤维隔膜的作用下,半电池展示出高库伦效率、稳定的沉积/剥离性能及优异的倍率性能,证实了高介电常数PCS赋予碱金属电池快速反应动力学。DFT模拟表明结果表明纤维素骨架中丰富的磷酸基团可能显著促进电荷转移,加速LiPF6解离生成LiF,这需要进一步精细探究以验证高介电常数纤维隔膜对电池界面化学组成的优化机制。

图2:PCS对金属负极中Li+沉积的影响
利用冷冻电镜(cryo-TEM)在亚埃级分辨率下,分别研究了高介电常数与低介电常数隔膜存在时电化学沉积形成的SEI结构。发现了Li2O、Li2CO3和LiF组分。当存在高介电常数PCS隔膜时,观察到SEI呈现镶嵌结构,大量LiF嵌入Li2CO3基体中。这种镶嵌结构能在保持LiF低电子电导率的同时促进锂离子传输。相反,采用低介电常数隔膜时几乎观察不到LiF,SEI结构以非晶态为主。冷冻电镜元素分布图显示C、O、F元素的分布特征,证实了SEI界面处LiF的富集现象。上述结果证实高介电常数PCS隔膜能在电场驱动下辅助形成低能垒的坚固SEI,其中锂离子主要沿晶界扩散,其速率显著快于传统晶格扩散。TOF-SIMS和XPS的结果与冷冻透射电镜结果一致。

图 3:高介电常数隔膜对SEI化学成分的影响
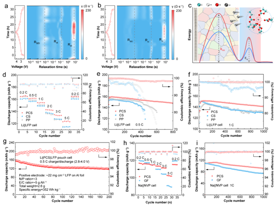
采用PCS的Li||LFP电池的DRT图谱显示出比CS更低的界面相传输阻抗(RSEI)和电荷转移阻抗(Rct),证实了PCS存在下比CS能实现更快的电荷转移,并形成更高导电性和更稳定的SEI。高介电常数隔膜的引入降低了碱金属的脱溶剂化能,从而减小了Rct;同时,富含LiF且低聚物含量少的SEI降低了RSEI。因此,装有PCS的Li||LFP以及Na||NVP碱金属电池展示出优异的倍率性能以及循环稳定性。

图 4:装有PCS的碱金属电池的电化学性能
结论:
通过高介电常数隔膜与电池内部电场的协同作用,团队展示了一种促进隔膜-负极界面反应以构建稳定碱金属电池的策略。综合模拟与表征结果表明,高介电常数隔膜对促进电场密度均匀分布具有关键作用。此外,高介电常数的PCS材料在电场作用下发生强烈的电子转移,促进了LiF的生成并降低了SEI中锂离子传输的能垒。得益于电场驱动的电子位移极化效应,高介电常数隔膜与碱金属离子的相互作用得以增强,优化了碱金属离子的溶剂化结构和动力学行为,从而有效抑制了有机溶剂分子在SEI界面的副反应。采用所制备的高介电常数隔膜后,锂金属和钠金属电池的循环稳定性较使用商用PP或GF隔膜的电池均有显著提升。这些进展对于阐明电池复杂环境中隔膜-负极界面反应机制具有重要意义。
原文链接:https://www.nature.com/articles/s41467-025-60256-9